2020年
名城過去問 数学
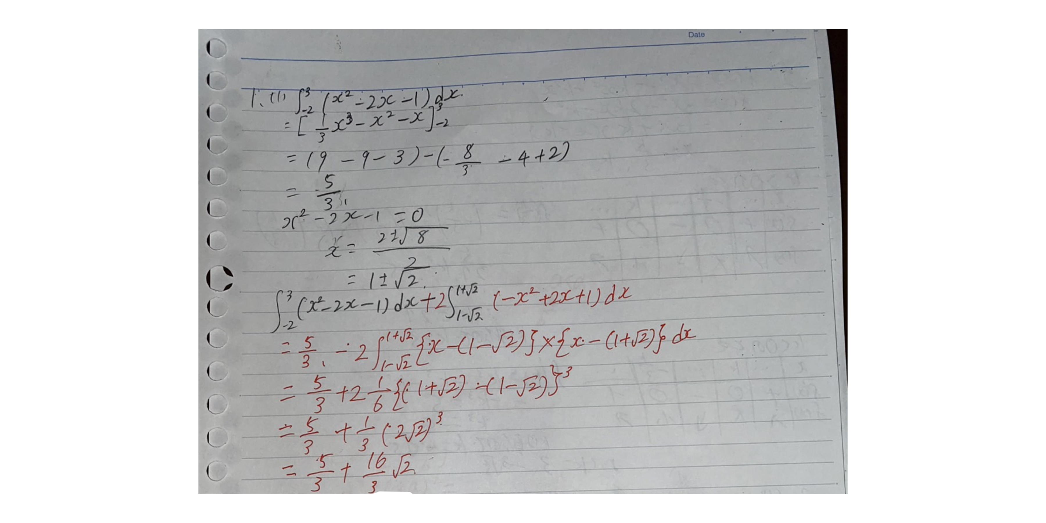
2021第1問(1)




ワンポイント
∫+2∫
2021第1問(2)


2021第2問

2021第3問



ワンポイント
直交(垂直に交わる)する2直線
2直線の傾きの積は、-1
2直線とx軸の交わる角度をそれぞれαβとする
tan加法定理
+ たんたたん・いまたんたん
- たんまたん・いたたんたん

2020
第1問(1)

3回目答案0201

2020第1問(2)

【注意書き】
②の両辺に3mnを掛け算すれば分母が払える。
①より3mnは正の数とわかるから不等号はそのまま。
【類題】
チャート例題106,107 整数×整数=整数
3回目答案0201

2020
第2問

2回目答案(1)(2)

3回目答案(1)(2)

4回目答案(1)2023.3.27

2020
第3問

3回目答案0201

|